Solving for Depletion Region

Overview

  1. Major assumptions: depletion approximation, no free carriers in this region, dopant concentration is constant.
  2. Based on these assumptions, can use Poisson's Equation to develop a solution for the depletion region.
  3. Can solve for both the maximum electric field and the total depletion width.

As stated on the previous page we need to make certain assumption to solve the diode equations analytically.

Assumptions are:

  1. Depletion approximation: the electric field is confined to the junction region and there is no electric field in the quasi-neutral regions.
  2. No free carriers (n(x), p(x) = 0 ) in depletion region.
  3. We can assume no free carriers since the electric field sweeps them out of the depletion region quickly. No free carriers means (1) transport equations drop out and (2) no recombination or generation, so the continuity equation becomes
    1qdJndx=(UG)=0 .
    This means that Jn is constant across the depletion region. Similarly, Jp is also constant across the depletion region.
  4. Abrupt or step doping profile (NA+, ND+ are constant in their respective regions).
  5. All dopants are ionised ( NA+= NA, ND+ = ND).
  6. One-dimensional device.

Solution

The only equation left to solve is Poisson’s Equation, with n(x) and p(x) =0, abrupt doping profile and ionized dopant atoms. Poisson’s equation then becomes:

dEdx=ρε=qε(NA+ND)

or ,

where  

ε0 is the permittivity in free space, and εs is the permittivity in the semiconductor and -xp and xn are the edges of
the depletion region in the p- and n-type side respectively, measured from the physical junction between the two materials.

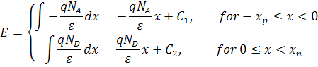
The electric field then becomes

The integration constants C1 and C2 can be determined by using the depletion approximation, which states that the electric field must go to zero at the boundary of the depletion regions. This gives:

and

The maximum electric field occurs at the junction between the p- and n-type material. Further, we know that the electric field lines must be continuous across the interface, such the electric field in the p-type side and the n-type side must equal each other at the interface or when x = 0. Putting x = 0 in the above equation for electric field and setting the two values of E equal to each other gives: NAxp = NDxn. This equation makes physical sense since it states that the total charge on one side of the junction must be the same as the total charge on the other. In other words, if the electric field is confined to the depletion region, then the net charge in Region II must be zero, and hence the negative charge and the positive charge must be equal. NA xp A is the total negative charge, since NA is the charge density and xpA is the volume of the depletion region (A is the cross-sectional area and xp is the depth). Similarly, ND xn A is the positive charge. The cross sectional area (A) is the same and cancels out.

charge density in depletion region               

(a) Doping concentration in a pn junction. The dotted lines are the actual net charge density (the tails are exaggerated) and the solid line represents the assumed charge density in the depletion approximation. (b) The electric field in a pn junction.

The graphs above are an illustration of Poisson's equation that we started with where the charge is slope of the electric field graph:

dEdx=ρε

 

To find the voltage as a function of distance, we integrate the equation for the electric field.

We are usually interested in the potential difference across the junction and can arbitrarily set one side to zero. Here we define the voltage on the p-type side as zero, such that at x= −xp, V=0. This gives the constant C3 as:

, which gives

We can find C4 by using the fact that the potential on the n-type side and p-type side are identical at the interface, such that:

or

Overall, V(x) is:

The total voltage is plotted below.

Plot of the voltage across a pn junction, assuming that the voltage on the p-type side is zero.

The maximum voltage across the junction is a x= xn, which is:

This voltage is also equal to the built-in voltage across the pn junction, V0, (which we can find from the difference in Fermi-levels between the n and p-type material), giving

Using in the above equation and rearranging allows xp and xn to be determined. They are:

and

From these equations we can get the maximum electric field:

,

and the total width of the depletion region

W=xp+xn=2εqVo(1NA+1ND)

and

Where is the built-in voltage and is calculated separately.